All-match moisturizing-hyaluronic acid
10/15/2025 10:44:49
Introduction
Hyaluronic acid (HA) is also known as hyaluronic acid (yes, the two are the same thing). Hyaluronic acid is a natural substance in the human body and is widely present in the skin, blood and interstitial fluid of human and animal tissues, such as eyeballs, umbilical cords, joints, skin and other parts. Hyaluronic acid has good water retention, lubricity, viscoelasticity, biodegradability and other functions. It can actively absorb water molecules 1000 times larger than itself and attach to the skin to help the skin replenish water and moisturize, moisturize, soothe, promote wound healing and other functions. It is widely used in the fields of medical beauty and cosmetics.Structural characteristics.

Hyaluronic acid is a high-molecular polymer, which is a high-grade polysaccharide composed of D-glucuronic acid and N-acetyl-D-glucosamine. Among them, D-glucuronic acid and N-acetyl-D-glucosamine are connected by β-1,3-glycosidic bonds, and disaccharide units are connected by β-1,4-glycosidic bonds. The more disaccharide units are repeatedly connected, the larger the molecular weight.
The disaccharide units of hyaluronic acid all adopt the β conformation, and their hydroxyl, carboxyl, and acetylamino groups are all in the e-bond position, making hyaluronic acid very stable in energy. Hyaluronic acid is generally a white powder with no special odor and an optical rotation of -74° (25°C, 0.025%, in water). Thanks to its structure, hyaluronic acid can absorb 1000 times its own weight of water, and is the best natural substance found in nature to retain water.
Molecular weight and moisturizing properties At present, the hyaluronic acid sold on the market has different molecular weights and different applicable fields. Among them, hyaluronic acid with a larger molecular weight has stronger support, anti-degradation and viscoelasticity, and is often used as a shaping filling material in medical beauty; hyaluronic acid with a smaller molecular weight can penetrate the epidermis to achieve deep absorption of the skin, and is often used in moisturizing skin care products. In addition, the price of hyaluronic acid also varies depending on the molecular weight. Generally speaking, the smaller the molecular weight of hyaluronic acid, the more expensive it is.
In 2016, Essendoubi et al. published a related paper in Skin Research and Technology: using Raman spectroscopy to detect the penetration of hyaluronic acid (HA) of different molecular weights in the skin. The experimental results show that small molecules penetrate into the basal layer of the skin to achieve deep hydration, medium molecules enter the epidermis to replenish keratin moisture, and large molecules lock moisture in all directions to prevent water loss. Experiments have shown that hyaluronic acid of different molecular weights has extremely strong permeability, and the smaller the molecular weight, the greater the permeability.
Hyaluronic acid moisturizing property
As an endogenous substance in the human body, hyaluronic acid has a strong moisturizing ability, which can maintain the hydration of the dermis and maintain the flexibility and barrier function of the stratum corneum.
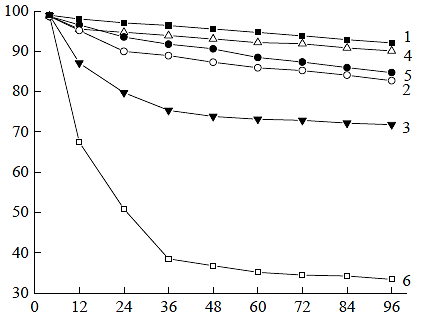
In a moisturizing study, researchers weighed 0.5g of six kinds of powders, including hyaluronic acid, shark cartilage, glycerol, sodium alginate, water-soluble chitosan and carrageenan oligosaccharides, and added 10% deionized water, and placed them in a dryer filled with dry silica gel. Then, the water content Hn and the added water content H0 of the samples were weighed at 4, 12, 24, 36, 48, 60, 72, 84 and 96 hours. The test results show that the moisturizing rates of the six bioactive polysaccharides in the environment of dry silica gel are: hyaluronic acid> water-soluble chitosan> carrageenan oligosaccharides> shark cartilage> sodium alginate> glycerol. The results show that hyaluronic acid has excellent moisturizing properties.
Hyaluronic acid and sodium hyaluronate
Many people have a question: We often see sodium hyaluronate on the market. Is it the same substance as hyaluronic acid?

In fact, from the perspective of skin care effects, there is almost no difference between hyaluronic acid and sodium hyaluronate. Hyaluronic acid itself is an acid, while sodium hyaluronate is just a sodium salt with Na+ added to the structure of hyaluronic acid. Therefore, sodium hyaluronate is more stable than hyaluronic acid when used in cosmetics, so it lasts longer. In addition, when sodium hyaluronate enters the body, it can be reduced to hyaluronic acid to play a skin care role.




