探寻化妆品核心成分,3 种常用肽脱颖而出
01/06/2025 14:58:41
生物活性肽属于特殊蛋白质片段,由20种自然氨基酸的不同序列构成,从小分子二肽至大分子多肽不等。这些肽类依据氨基酸数目是否少于10个,区分为寡肽与多肽。生物活性多肽因具备易吸收、高效及安全性,在化妆品领域应用已久且种类丰富,技术相对成熟;相比之下,寡肽的应用在近年间才逐渐成熟。
国际上对生物活性肽的分类尚缺乏统一标准,依功能划分,可包括免疫调节肽、抗氧化肽、美容肽、血压调控肽、肝脏保护肽、血脂调节肽及抗凝血肽等。另一种分类方式是基于其作为小分子蛋白质片段的生物活性,如信号肽、载体肽、神经递质抑制肽及酶抑制肽。
在化妆品领域,常依据来源将生物活性肽分为化学合成肽、动物肽、植物肽及海洋生物肽等。胜肽是指一些化学合成的小分子多肽物质,其成分功能研究较为深入,生产流程较为完备,有成熟的市场体系。下面介绍目前常用的3种化学合成肽的代表。
棕榈酰五肽-3/4
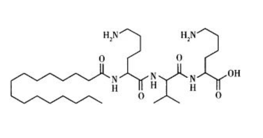
棕榈酰五肽-3/4(matrixyl)是作为化妆品成分的一种信号类胜肽,它作为抗衰老剂对胶原蛋白的形成有着深远的影响。它含有5种氨基酸,在N末端与一条16碳脂族链结合,其分子结构如图1所示。

经科学研究表明,棕榈酰五肽-3/4 同时具备棕榈酸及胶原蛋白的双重性质,这种多肽可以通过模仿自身生长细胞多肽的修复信号,有效促进纤维细胞中氨胶原蛋白的生成(主要是I 型、II 型和 III 型胶原蛋白),防止皮肤衰老。此外还能有效加固纤维细胞中胶原蛋白同氨基葡萄糖的结合,进一步刺激纤维细胞外基质、透明质酸等生成,提高肌肤含水量和锁水度,增加皮肤厚度,宏观上表现为肌肤细纹的减少以及紧实度和光泽感的提升。
国际美妆品牌如SKII的赋能焕采精华眼霜、OLAY大红瓶水乳、Dior的活肤驻颜修护夜间换肤液均添加了棕榈酰五肽-3/4,以起到抗衰老和抚平淡纹的作用。此外JM Solution、百雀羚、米蓓尔、黛珂等品牌产品也添加了棕榈酰五肽-3/4。
乙酰基六肽-8
乙酰基六肽-8(argireline),别称类肉毒杆菌素,是一种作用于肌肉收缩的神经递质抑制类肽,也是美容胜肽中化妆品应用极其广泛的种类,结构如图2所示。

同一般肽类物质一样,乙酰基六肽-8具有通过促进细胞活动增加胶原蛋白的通用特性,此外乙酰基六肽-8还可局部干扰阻断神经肌肉的信息传导,破坏信号通路,从而阻碍皮囊神经的传导过程,以此达到松弛脸部肌肉,抚平皱纹、紧致肌肤等效果。
乙酰基六肽-8不同于棕榈酰五肽-3,其主要功效针对由面部表情肌收缩造成的皱纹,起到淡化细纹的功效,特别是在解决额头及眼周细纹方面作用效果显著,甚至可比肩A型肉毒素,因而被誉为免于皮下注射的皮肤外用肉毒素。
就应用来说,目前如The Ordinary的Argireline Solution 10%、Buffet和海蓝之谜(Lamer)的修护精华液中均有添加,以起到刺激胶原蛋白再生、恢复肌肤紧致和弹性的作用。此外,雅诗兰黛旗下倩碧、优质国牌薇诺娜、韩束、丸美以及珀莱雅等品牌产品也将乙酰基六肽-8 添加其中。
棕榈酰三肽-5
棕榈酰三肽-5(palmtioyl tripeptide-5)也属于市场较为成熟的一类美容胜肽,因其能加速胶原蛋白形成、增加肌肤弹性而被众多国际知名品牌用作营养抗皱原料。棕榈酰三肽-5 有效增强细胞活性、增加肌肤含水量,宏观上表现为肤色改善和光泽感增加。另有研究发现,棕榈酰三肽-5 还可以通过抑制酪氨酸酶活性影响MITF和酪氨酸酶的mRNA 水平,具有显著抑制色素沉着的效果,可以作为美白功效多肽使用。
棕榈酰三肽-5 作为抗皱类护肤品的成分而被广泛应用,而对于其美白功效近年才开始研究。瑞士高端护肤品牌(La Prairie)就在其明星产品莱珀妮臻爱铂金精华液中使用该成分。此外,国内的许多品牌如珀莱雅、韩束、玉泽、优时颜和水密码等品牌产品也添加了棕榈酰三肽-5。
总结
3种肽类的基本属性可以简单比较如下。

主要功效比较如下。





